22+ Br 800 Parts Diagram
Web Stihl BR800 Parts Stihl BR800 Parts Genuine and Aftermarket Spares for Stihl BR800 Spare Parts Parts in Stock ready for Next Day Delivery. It features a 4-cycle 799.
Stihl Br 700 Backpack Blower Br 700 Parts Diagram A Cylinder
If you are still having trouble try using the search at the top of the.

. Web stihl br 800x parts diagram About. BG 55 BG 56 BG 65 BG 75 BG 85 BG 85 C BG 86 BR 340 BR 340 L BR 400 BR. Web Look at the diagram and find parts that fit a Stihl BR Backpack Blower.
Web Stihl br 800 backpack blower parts diagram The Stihl BR 800 X MAGNUM is a gas-powered backpack leaf blower delivering 912 CFM at 239 MPH. BR800 C-E Backpack Blower Parts. Parts walbro lmb carburetor diagram list diagrams unable.
889 2br - 1029ft2 - Devonshire Dr Holiday FL 1955. All products 18 Items Air Filter. Web Stihl BR 800 C-E Backpack Blower Spares View all the spares that fit a Stihl BR 800 C-E Backpack Blower.
Stihl Backpack Blower Parts. Web STIHL The Number One Selling Brand of Chainsaws STIHL USA. Stihl Petrol Backpack Blower Parts BR BR800 C-E Backpack Blower Parts.
Page 4 Installing Cam Followers and Cam Gear 186 Installing Rocker Arms and Pushrods Testing Engine for Leaks 191 Tools Servicing Aids 192 Testing Compression. Air Filter Fits Stihl Ms 661 Ms. Web Stihl Parts Diagrams.
Web The stihl br 800 backpack blower parts diagram NEW BR 800 X offers a lighter more affordable option than the BR 800 C-E for users who need maximum power.
Frontiers The Role Of T Helper 22 Cells In Dermatological Disorders
Hitachi Zx135us 5a Hydraulic Excavator Electrical Hydraulic Circuit Diagram By Heydownloads Issuu
Stereodynamics Of The Ca Hcl Cacl H Molecular Reaction Imposed By The Rotational Excited States Of Hcl Wang 2020 International Journal Of Quantum Chemistry Wiley Online Library
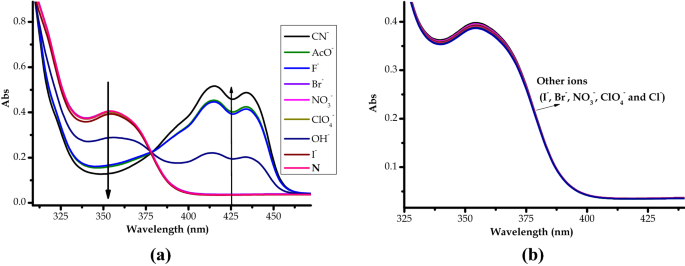
A Ruthenium Bipyridyl Molecular Dye Sensitizer And An Excited State Intermolecular Proton Transfer Active Colorimetric Probe For Anions With High Affinity Towards Cn In Dmso Springerlink
Sinamics S120 D21 3 2019
N Ceunes
Atoms Free Full Text Critical Assessment Of Theoretical Calculations Of Atomic Structure And Transition Probabilities An Experimenter S View
Atoms Free Full Text Critical Assessment Of Theoretical Calculations Of Atomic Structure And Transition Probabilities An Experimenter S View
Pdf Ac2 1soln Manual Nehemia Hutajulu Academia Edu
Pdf Hyundai Accent Service Manual 02 06 Sohc Dohc Diesel Everything Zouaoui Guellil Academia Edu
Arema Communictaions And Signals Pdf Engsoc
Stihl Br 500 Z Backpack Blower Br 500 Z Parts Diagram Fuel Tank
Luminescent Complexes Of Platinum Iridium And Coinage Metals Containing N Heterocyclic Carbene Ligands Design Structural Diversity And Photophysical Properties Chemical Reviews
Stihl Br 800 C E Magnum Instruction Manual Page 32
Hitachi Zh 210 6 210lc 6 Hybrid Excavator Electrical Hydraulic Circuit Diagram By Heydownloads Issuu
A Gdiii Based Spin Label At The Limits For Linewidth Reduction Through Zero Field Splitting Optimization Inorganic Chemistry
Cook Arthur B Zeus A Study In Ancient Religion Band 3 1 Zeus God Of The Dark Sky Earthquake Clouds Wind Dew Rain Meteorits Text And Notes Cambridge 1940